| Researchers | Zarwa Maryam Waqar and Sarosh Naveed |
| Time Frame | Fall 2025 |
| Supplementary Materials | Water being emptied from a can by Zarwa and WaqarSupplementary report by Faisal Saeed |
| Supplementary Materials | A student experiment on water discharge from a cylinder |
| Description | |
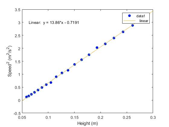
In this experiment, the behaviour of water discharge through a pinhole is investigated and mathematised using the foundational principles of fluid dynamics. Using a large cylinder, PhysLoad, and PhysLogger, we measured the mass flow rate to determine the relationship between the speed of the fluid (V) and the height (H). It was observed that the standard Torricelli’s Law is very idealised, so we proposed a modified model that subtracts a residual head R to account for energy losses due to the vena contracta effect.
The value of R was found to be approximately 0.050m, with a gradient of the squared speed versus height plot of 14.3 m/s2. Followingly, we aimed to universalise these relationships by converting the variables into dimensionless quantities. The analysis revealed a linear relationship between the dimensionless speed, v, and the dimensionless time, t, confirming that the law holds true for any experiment, regardless of the apparatus used, despite the presence of viscosity and surface tension. | |
